前言:甘肅省是我國西北寒冷和嚴寒地區的典型代表區域,還是傳統燃煤采暖大省,清潔取暖比例低,采暖期燃煤總量大、強度高,特別是傳統燒煤取暖方式落后、排放大,成為引起大氣環境污染的重要因素之一。作為一款環保節能的綠色新能源設備,空氣能熱泵與傳統采暖方式相比,無燃燒、無廢氣、低碳環保,不僅綠色無污染,而且從根本上杜絕火災、漏電、爆炸等安全事故發生,是目前北方“煤改電”有效技術之一。

25000㎡,采用空氣能熱泵實現冷暖兩用
甘肅成縣祁連山水泥廠采暖改造項目位于甘肅省隴南市成縣,成縣位于位于甘肅省南部、隴南市東北部,屬秦嶺南麓徽成盆地、長江上游嘉陵江水系,屬于寒冷地區。為響應國家在燃煤鍋爐改造清潔能源替代的清潔取暖方式號召,隴南市成縣祁連山水泥廠開始謀劃新的采暖方式。由于空氣能熱泵在北京等地區的成功應用,成縣祁連山水泥廠便決定將原有燃煤鍋爐采用空氣能熱泵進替代。

為使廠區供暖區在車間不進行生產的情況下(無法使用余熱發電系統),能夠正常供暖,因此增加空氣能熱泵設備,作為整體采暖系統的補充能源。為此,廠區經過多次協商和綜合考慮,最終選擇了中廣歐特斯空氣能熱泵進行替代改造,實現冷暖兩用目標。該項目工程覆蓋了更衣室、單身公寓、食堂、余熱電站水化間、職工公寓、辦公樓、廠區銷售樓等相對集中部位,建筑面積約25000㎡。

據了解,該項目于2017年10月開始施工到11月啟用運行,滿足了甲方需求條件,即冬季采暖期室溫不低于18℃(夏季制冷期室溫不高于26℃),建筑物采暖(制冷)可實現獨立運行,自動控制,可與現有采暖管網有效分離,互不影響。
空氣能熱泵采暖效果好,費用比燒煤節省1/3
經過2017年—2018年采暖季,該項目得出了一個非常好的結論:更換成空氣源熱泵采暖后電費比原來燃煤費用省了許多,室內溫度由原來燃煤鍋爐的15℃提升到了現在采用空氣能熱泵采暖的20℃左右。

此外,該項目是根據具體選型計算過程,進行選型。如ZGR-70ⅡADG2可滿足室外環境溫度-15℃,出水溫度55℃,實際制熱能力40kW;室外環境溫度-25℃,出水溫度55℃,實際制熱能力35kW。據了解,該項目末端形式為暖氣片,且末端進行了溫度控制,來達到供暖所需的室內溫度不低于18℃要求。

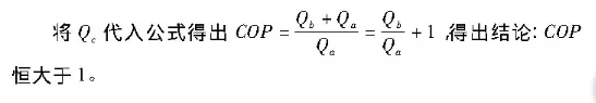
空氣作為可再生能源是取之不盡、用之不竭的天然資源。而熱泵技術是利用輸入少量的電能,從空氣中獲得高于輸入電能2倍~5倍的熱能來加熱被加熱對象,實現供熱的目的??諝庠礋岜霉ぷ髦形】諝庵械臒崃渴敲赓M的,而輸出的熱能是以它為主的,根據熱泵制熱性能系數公式:

其中,Qc=吸收空氣中的熱量(Qb)+輸入功率(Qa)。

從結論中不難看出空氣源熱泵的節能性是必然的,可見它的運行能效比較高,而普通電熱水鍋爐的能效比不大于0.95,燃氣、燃油鍋爐的能效比一般為0.6~0.8,燃煤鍋爐的能效比更低,只有0.5~0.7,由此可見,空氣源熱泵較傳統加熱方式具有明顯的節能優勢,是節能的有效途徑之一。
上一采暖季運行期間,由于工期緊迫,采暖季使用時末段仍然為暖氣片,室內溫度達到20℃左右,全天供暖溫度無波動。同時,據該廠區負責人介紹,該項目由燃煤鍋爐改為空氣源熱泵供暖后比之前燒煤節省了1/3的費用。


